网站首页  词典首页


请输入您要查询的字词:

 

字词 采暖热量衡算
类别 中英文字词句释义及详细解析
释义 采暖热量衡算

[说明]车间采暖需要的热量可按建筑物的耗热量、设备耗热量、渗透冷空气耗热量、材料及运输车辆的吸热量、湿地面蒸发水分吸热量等之和,减去设备与电动机的散热量而得。

注:
❶ 表中K1 吊顶的传热系数[kJ′(m2·h·℃)]

K2 屋而的传热系数[kJ′(m2·h·℃)]

❷ 表中数值系按屋而坡度为1.2(屋而与吊顶夹角约为26.5℃)和不通风闷顶计算而得;当斜屋而倾射角与上述数值相差较大或不采用温差修正的计算方法时,可按屋面和吊顶的综合传热系数K′计算,此时耗热量为:

式中 K′——屋面和吊顶的综合传热系数[kJ/m2·h·℃)]对人字屋顶(见图4-4-1):

对平面屋顶(见图4-4-1):

图4-4-1 屋顶结构

1-人字屋顶 2-平面屋顶

❷ 地板耗热量Q2

式中 Q2——地板耗热量(kJ/h)

F——地板传热面积(m2)

△t——室内外温差(℃)

K——地板的平均传热系数[kJ/(m2·h·℃)],直接铺设在土壤上的非保温地板,在计算出其热阻后可按表4-4-4选取;其它见表4-4-5及表4-4-6

表4-4-4 非保温地板的热阻与传热系数的关系

注:1kcal/m2·h·℃)-4.1868kJ.(m2·h·℃)

[(m2·h·℃)/kcal-0.2388(m2·h·℃)/kJ

表4-4-5 在拐角房间直接铺设在土壤上的非保温地板的平均传热系数K[kcal/(m2·h·℃)]

注:
❶ 利用此表查平均传热系数以计算耗热量时,第一地带的拐角地段不需重复计算。

❷ 具有相邻两面外墙的房间,可直接查得其平均传热系数;当房间有三面墙时,须将地板面积先划分为两个面积相等的部分,每部分均包括一个冷拐角,然后根据分割后长、宽值查其平均传热系数;当房间具有四面外墙时,须将地板划分为四个面积相等的部分,每部分包括一个冷拐角,然后按分割后的长、宽值查其平均传热系数,代出传热系数后,仍按原房间的长、宽计算耗热量,

❸ [kcal(m2·h·℃)-4.1868kJ(m2·h·℃)

表4-4-6 具有一面外墙的房间直接铺设在土壤上的非保温地板的平均传热系数[kcal/(m2·h·℃)]

注:
❶ K值与房间宽度无关

❷ 具有两面不相邻外墙的房间,可用此表,但须先将该房间分割为两个具有一面外墙的相等部分,再按划分后的房问深度查取K值,

❸ 1kcal/(m2·h·℃)-4.1868kJ/(m2·h·℃)

[例]某车间长100m,宽12m,四面均为外墙,室内外温差为26℃,计算其地板的耗热量。

解:先将地板分割成四个面积相等的部分,且每个部分均包括一个冷拐角,于是得到每部分的长为50m,宽为6m,由表4-4-5得,K为0.25kcal/(m2·h·℃)=1.047kJ(m2·h·℃),则:

Q2=KF△t=1.047×100×12×26=32666.4(kJ/h)

❸ 车间设备耗热量Q3

式中 QQ3设备的吸热量(kJ/h)

W——水分蒸发量(kJ/h)

P——在水面温度下的饱和水蒸汽压力(kPa)

P——在蒸发时周围空气所含水蒸汽分压力(kPa)

F——蒸发(暴露)面积(m2),当表面为波纹时,取面积的2倍

β——水面蒸发系数[kg/(m2·h·kPa)]

x——在周围空气温度为15~30℃时不同水温的重力流动因素,见表4-4-7

V——蒸发水而空气流速(m/s)

h——蒸发水而所在地大气压力(kPa)

R——蒸发温度下的汽化潜热(kJ/kg)

表4-4-7 不同水温水的重力流动因素α

❹ 渗透冷空气耗热量Q4

[说明]在工业厂房中,影响冷风渗透量的因素很多,为简化计算,一般可按表4-4-8进行概略计算。

表4-4-8 冷风渗透的附加量占建筑物围护结构总耗热量的百分数(%)

❺ 外门开启附加耗热量Q5

[说明]对工业建筑一般外门开启的附加值,为其围护结构基本耗热量的两倍。

式中 Q1——同式4-4-2

❻ 材料及运输车辆的耗热量Q6

[说明]可根据车间材料及运输车辆的存放量和流动情况,取相应的热量附加值。一般取围护结构基本耗热量的10%~50%。

式中 Q1——同式4-4-2

❼ 湿地坪蒸发水分耗热量Q7

式中 W——蒸发水量(kJ/h)

F——积水地面面积(m2)

t——地面附近空气的干球温度(C)/p>

t(温——地面附近空气的湿球温度(℃)

R——蒸发温度下水的汽化潜热(kJ/kg)

Q2——地面积水的吸热量(kJ/h)

2.车间散热量的计算

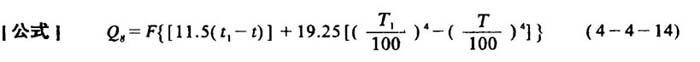
❶ 设备的散热量计算

式中 Q8——设备的散热量(kJ/h)

F——设备表面积(m2)

t1、T1——室内温度(℃)与绝对温度(K)

t、T——设备表面温度(℃)与绝对温度(K)

❷ 电机散热量Q9

式中 Q9——电动机设备散热量(kJ/h)

N——电动机铭牌功率(kW)

K——系数,对于浆池、水泵为0.1~0.15;其它设备为0.8~1.0

❸ 造纸车间散热量的简易快速计算

[说明]在工程设计中,造纸车间的余热可采用表4-4-9所列的快速计算法计算。在进行概略计算时,车间内总散热量(按干燥总耗热量计)可取:开敞罩普通长网纸机为10~12%;密闭罩高速长网纸机为3~4%。

表4-4-9 造纸车间散热量的简易快速计算

随便看

 

离鸟网收录3541549条中英文词条,其功能与新华字典、现代汉语词典、牛津高阶英汉词典等各类中英文词典类似,基本涵盖了全部常用中英文字词句的读音、释义及用法,是语言学习和写作的有利工具。

 

Copyright © 2004-2024 vtrois.com All Rights Reserved
更新时间:2026/4/7 4:45:02