网站首页  词典首页


请输入您要查询的字词:

 

字词 采样控制系统的稳态误差
类别 中英文字词句释义及详细解析
释义 采样控制系统的稳态误差

对图5.7-13所示的单位反馈采样系统稳态误差的计算示于表5.7-4。

表5.7-4 采样时刻的稳态误差e*(∞)

对表5.7-4的几点说明:

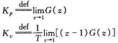
·对表中的位置误差系数Kp、速度误差系数Kv和加速度误差系数Ka分别定义如下:

·表中的G(1)为0型系统的G(z)在z=1时的脉冲传递函数值;G1(1)为Ⅰ型系统的G(z)在消去z=1的极点之后,在z=1时的脉冲传递函数值;G2(1)为Ⅱ型系统的G(z)在消去了z=1的极点以后,在z=1时的脉冲传递函数值。

·从表3.7-4中可看出,采样控制系统的稳态误差不但与系统典型输入信号形式和系统型别及开环增益有关,而且对有差系统的稳态误差还与采样周期的大小有关,缩短采样周期将会减小稳态误差。

随便看

 

离鸟网收录3541549条中英文词条,其功能与新华字典、现代汉语词典、牛津高阶英汉词典等各类中英文词典类似,基本涵盖了全部常用中英文字词句的读音、释义及用法,是语言学习和写作的有利工具。

 

Copyright © 2004-2024 vtrois.com All Rights Reserved
更新时间:2026/4/6 19:35:57