网站首页  词典首页


请输入您要查询的字词:

 

字词 采样控制系统的设计和综合
类别 中英文字词句释义及详细解析
释义 采样控制系统的设计和综合

采样控制系统中包含了数字控制器及控制对象两部分,所以采样控制系统的设计和综合将包含确定这两部分的结构和参数。通常,图6.2-7的计算机数字控制系统的反馈传感器是比例环节,在经过调整后得到图6.2-10所示的方框图。

在采样控制系统中,零阶保持器的传递函数Gh(s)是不变的,在液压系统控制对象的传递函数Gs(s)确定后,通常也不会改变。因此系统的综合与设计任务,主要是在给定系统的性能品质指标下,设计数字控制器D(z)以达到系统的性能指标。计算机控制系统的性能指标,在古典控制理论范围内,仍然可以沿用类似连续系统中的稳定性、稳态误差和动态性能指标。判断系统的性能常用的有两种方法,一种是稳定裕量、误差系数(位置、速度、加速度误差系数)和动态性能指标(谐振峰值、谐振频率、通频带、阻尼比、超调量)等,另一种方法是系统在单位阶跃、单位速度或单位加速度等典型输入作用下,具有最短的调节时间等。

开始设计系统时,可先将D(z)作为比例环节,按上章采样周期的选择方法,选用适当的采样周期T,并进行稳定性判别,也可按分析系统的瞬态响应或进行系统仿真来检查系统的其他品质。

当系统的稳定性和其他品质不满足设计要求时,便要重新设计D(z)。D(z)的设计方法有两种,一种是模拟化设计方法,就是根据连续系统的理论,设计校正环节,然后用数字化离散化的方法得出D(z);另一种是离散化设计方法,又称直接设计法,该法是根据系统的性能要求,运用离散系统控制理论,直接进行数字控制器的设计。下面主要介绍模拟化设计方法,它是按连续系统控制理论得出的控制规律进行,先进行离散化得到计算机能实现的控制算式,然后在计算机上实现编程计算。我们将采用比例、积分、微分控制,即PID控制的离散化方法来确定参数及分析参数对性能的影响。同时也介绍用离散化设计方法如何对数字控制器进行直接设计,主要介绍最少拍系统和快速无波纹系统的设计。

(1)PID控制器数字化的设计及实现

在连续控制系统中PID控制器的控制规律为

广义系统的脉冲传递函数为

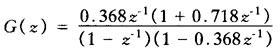
T=1时

G(z)有一个零点,z=0.718有一个z-1因子,在单位圆上有一个z=1的极点。按最少拍设计原则及附加条件得

最少拍无纹波设计具有实用价值,动态响应无超调,调节时间也最快。

随便看

 

离鸟网收录3541549条中英文词条,其功能与新华字典、现代汉语词典、牛津高阶英汉词典等各类中英文词典类似,基本涵盖了全部常用中英文字词句的读音、释义及用法,是语言学习和写作的有利工具。

 

Copyright © 2004-2024 vtrois.com All Rights Reserved
更新时间:2026/5/31 18:15:03