网站首页  词典首页


请输入您要查询的字词:

 

字词 采样系统的瞬态响应
类别 中英文字词句释义及详细解析
释义 采样系统的瞬态响应

如果已知采样控制系统的数学模型,则通过z变换法不难求出典型输入作用下的输出响应y*(t),依y*(t)很易分析系统动态性能。另一方面,在分析和校正一个系统时,了解闭环极点(即特征根)在z面上的位置与动态响应的关系,具有指导意义。

(1)采样系统的单位阶跃响应

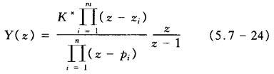
若采样系统的闭环脉冲传递函数为

式中zi和pi分别为Φ(z)的零点和极点。当系统输入信号为单位阶跃时,系统输出量的z变换为

假设系统无相重的闭环极点,对式(5.7-24)求z反变换,可得系统在采样时刻的输出值为

式(5.7-25)中第一项为常数项,表示系统的稳态输出。第二项和第三项表示系统的实根和复数根组成的系统暂态响应。

(2)闭环脉冲传递函数的极点对系统输出暂态分量的影响

若系统是稳定的,即系统闭环极点均分布在z平面的单位圆内,那么式(5.7-25)第二、第三项所表示的系统输出的各暂态分量都会随k的增大而衰减。对于在单位圆内几种极点分布情况所对应的暂态分量规律如下:

·当pi为正实数时,其所对应的yi(kT)为单调衰减函数,如图5.7-12示出的p1,p2及其分别对应的暂态分量y1(kT)和y2(kT)。

图5.7-12 采样系统闭环极点分布与其对应的暂态分量图

·当pi为负实数时,yi(kT)为正负交替出现的衰减函数。当k为奇数时,(pi)k<0;当k为偶数时,(pi)k>0。如图5.7-12示出的p3和其对应的暂态分量y3(kT),这种情况的暂态分量振荡频率最高,特性最差。

·当pi和pi+1为一对共轭复数时,其对应的暂态分量yi,i+1(kT)为衰减振荡,如图5.7-12示出的户4,p5及其对应的暂态分量y4.5(kT)。

随便看

 

离鸟网收录3541549条中英文词条,其功能与新华字典、现代汉语词典、牛津高阶英汉词典等各类中英文词典类似,基本涵盖了全部常用中英文字词句的读音、释义及用法,是语言学习和写作的有利工具。

 

Copyright © 2004-2024 vtrois.com All Rights Reserved
更新时间:2026/4/8 9:57:47