采样系统的稳定性
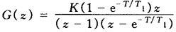
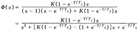
(1)系统稳定的必要充分条件 由于s平面虚轴在z平面的映象为单位圆,s平面左半部映射到z平面的单位圆内部,s平面右半部在z平面的映象为单位圆外部,如图5.7-10(a)、(b)所示。因此,对于采样控制系统,其稳定的必要充分条件是系统脉冲传递函数的极点应全部位于z平面的单位圆内。z平面上单位圆周为稳定域的边界,如系统有极点在z平面的单位圆外或单位圆上,则系统不稳定。 (2)稳定性的代数判据 若采样系统的特征方程为 anzn+an1z”-1+…+a1z+a0=0(5.7-20) 为判别其根是否在单位圆内,须取如下的所谓双线性变换,即令 [解]系统连续部分的开环传递函数为  查表5.7-1可得系统开环脉冲传递函数为  式中 T——采样周期; T1——图5.7-11所示系统连续部分惯性环节的时间常数。 查表5.7-3第一栏,令H(s)=1,得闭环系统脉冲传递函数为  其特征方程为  将上式进行z-w变换并整理后得  由劳斯判据可知,对于二阶系统,只要特征方程的各项系数均大于零,系统就是稳定的。由于(1-e-T/T1)>0,所以为使系统稳定,必须满足 [2(1+e-T/T1)-K(1-e-T/T1)]>0 解上述不等式,并考虑K>0,得该系统稳定时K的变化范围为  对上例的分析可有如下结论:对没有采样器的二阶连续系统,只要K大于零,系统总是稳定的,但当系统增加采样器变成采样系统后,开环增益被限制在式(5.7-22)要求的范围之内系统才稳定。一般说来,引入采样器会降低系统的稳定性,且采样周期越大,系统稳定性越差。不过,实践证明,对于带有很大时间延迟(大滞后)对象的系统则例外。 |