网站首页  词典首页


请输入您要查询的字词:

 

字词 重油燃烧发热量的计算
类别 中英文字词句释义及详细解析
释义 重油燃烧发热量的计算

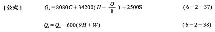
[说明]燃料完全燃烧时所产生的热量称为发热量。它是采用热量计测定的。热量计的测定值称为高发热量Qh。实际上,锅炉烟道气排出炉外时的温度在100℃以上,所以不能利用其中水蒸汽的发热值(潜热)。因此,把它称作低发热量Ql。只要已知燃料的化学成分,就可计算出理论发热量。

式中 Qh·Ql——分别表示高发热量和低发热量(kca1/kg)

其它同前

随便看

 

离鸟网收录3541549条中英文词条,其功能与新华字典、现代汉语词典、牛津高阶英汉词典等各类中英文词典类似,基本涵盖了全部常用中英文字词句的读音、释义及用法,是语言学习和写作的有利工具。

 

Copyright © 2004-2024 vtrois.com All Rights Reserved
更新时间:2026/4/8 2:11:11