重积分
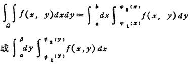
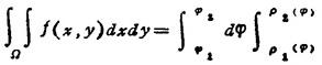
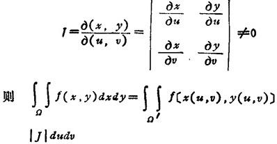
8.4.1 二重积分 二重积分 (x,y)dxdy的计算公式(积分限应从小到大): 直角坐标系下  极坐标系下,设x=ρcosφ,y=Psinφ,则  f(ρcos中,ρsinφ)PdP 二重积分的变量替换(雅可比式):{x=x(“,v) 设连续可微函数,把平面Oxy上y=y(u,v)的有界闭区域Ω单值映射到平面O′uv的闭区域Ω′,其雅可比式为  8.4.2 三重积分 三重积分 f(x,y,z)dxdydz的计算式: 设有界闭区域V由下列不等式确定: α≤x≤b,y1(x)≤y≤y2(x),z1(x,y)≤z≤z2(x,y) ❶ 直角坐标系  式中 Sx是用平行于Oyz的平面截V所得截面。 ❷ 圆柱坐标系  式中 V′是区域V在圆柱坐标系中的表达式。一般地,0≤φ≤2π。 ❸ 球面坐标系  式中 V′是区域V在球面坐标系中的表达式;θ为r与z轴的夹角。一般地,0≤φ≤2π,0≤θ≤π。 三重积分的变量替换(雅可比式):  把Oxyz空间的有界闭域V双方单值映射到O′uvω空间的闭域V′,且当(u,v,ω)∈V′时,其雅可比式  |