网站首页  词典首页


请输入您要查询的字词:

 

字词 野梧桐
类别 中英文字词句释义及详细解析
释义 野梧桐

【概况】:

异名 赤芽楸、赤芽槲(《本草推陈》),山桐子(《贵州药用植物名录》),上白木(《广西药用植物名录》)。

基源 为大戟科野桐属植物野梧桐的树皮。

原植物 野梧桐Mallotus japonicus Muell.-Arg.

形态 落叶小乔木,树干粗30cm左右,树皮光滑。嫩枝密被褐色绒毛。

单叶互生,具长叶柄,被褐色茸毛;叶片宽卵形或近菱形,长10~20cm,宽6~15cm,先端短渐尖至长渐尖,基部圆形或阔楔形,全缘或稀有3浅裂,上面光滑,下面散生黄色小腺点,并疏生星状柔毛。

花单性,雌雄异株,呈顶生穗状花序,通常分枝呈圆锥状,长8~20cm;雄花序较雌花序细长,雄花具短梗,疏生于密被褐色柔毛的花轴上,雄蕊多数;雌花密生,子房3室,花柱3。蒴果球形,密被细软刺。花期6月,果期9月。(图见《中国高等植物图鉴》.第2册.600页.图2929)

生境与分布 生于低山丘陵、山坡路旁或河滩边及杂木林中。

分布于中国江苏、浙江、福建、台湾、广西、贵州。日本也有分布。

。【化学】:

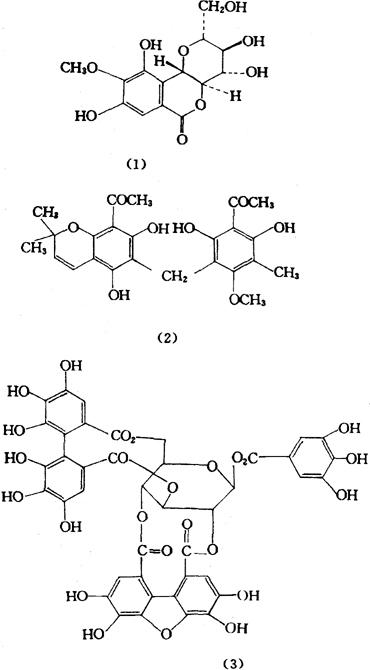
含内酯、鞣质、甾醇、皂甙、黄酮等。主要成分有:岩白菜内酯(Bergenin)(1)、去甲岩白菜内酯(Norbergenin)、4-O-没食子酸岩白菜内酯(4-O-Galloylbergenin)、3,4-二-O-没食子酸岩白菜内酯、4,11-二-O没食子酸岩白菜内酯、11-O-没食子酸岩白菜内酯、3,4,11-三-O-没食子酸岩白菜内酯、4-0-没食子酸去甲岩白菜内酯、11-()-没食子酸去甲岩白菜内酯[1,15,17],儿茶素[(+)-Catechin]、没食子儿茶素[(+)-Gallocatechin]、表儿茶素-3-O-棓酸酯(Epicatechin-3-O-gallate)、表没食子儿茶素-3-O-棓酸酯(Epigallocatechin-3-O-gallate[18]、3,3′,4-三-O-甲基逆没食子酸(3,3′,4-Tri-O-methylellagic acid)、鞣花酸、逆没食子酸(Geraviin)、表没食子几茶素没食子酸酯[( -)-Epigallocatechin gallate][1,13,17]、牻牛儿素(Geraniin)[7]、野桐色烯(Mallotochromene)[3](2)、野桐辛宁(Mallotusinin)[12](3)、野桐勒林(Mallotolerin)、Isomallotolerin、Isomallotochromanol[3,10]、野桐苯酮(Mallotophenone)、野桐色满醇(Mallotochro manol)、Butyrylmallotochromene、Isobutyrylmallotochromene、野梧桐素(Mallotojaponin)[3,14]、野桐醇(Malloplenol)[1]、野桐辛酸(Mallotusinicacid)[7]、Butyrylmallotojaponin、Isobutyrylmallotoiaponin[8]、野桐鞣质(Mallotannin)A,B[11]、野梧桐宁(Mallojaponin)、野桐宁(Mallonin)、野桐亭酸(Mallotinic acid)[12]、Butyrylmallotochromanol、Isobutvrylmallotochromanol[16]、1-O-没食子酸-β-D葡萄糖、6-O-没食子酸-D-葡萄糖、1,2,3,6-四-O-没食子酸-β-D-葡萄糖、1,2,4,6-四-O-没食子酸-β-D葡萄糖、1,2,3,4,6-五-O-没食子酸-β-D-葡萄糖、1,2,3,4,6-五-O-没食子酸-β-D-葡萄糖、1-O-没食子酸丙三醇(1-O-Galloylglycerol)、3-O-没食子酸莽草酸(3-O-Galloylshikimic acid)[1]、4-羟基-3-甲氧基苯酚-1-O-β-D-(6′-O-没食子酸)葡萄糖甙[4-Hydroxy-3-methoxyphenol 1-O-β-D-(6′-O-galloyl)glucoside]、4-羟基-2-甲氧基苯酚1-O-β-D-(6′-O-没食子酸)葡萄糖甙、4-羟基-3-甲氧基苯酚-1-O-β-D-(2′,6′-二-O没食子酸)葡萄糖甙、4-羟基-3-甲氧基苯酚1-O-β-D-(2′,3′,6′-三-O-没食子酸)葡萄糖甙、3,4,5-三甲氧基苯酚1-O-β-D-(2′,6′-二-O-没食子酸)葡萄糖甙、4-羟基-2,6-二甲氧基苯酚1-O-β-D-(6′-O-没食子酸)葡萄糖甙[18]、2,6-二羟基-3-甲基-4-甲氧基-乙酰苯(2,6-Dihydroxy-3-methyl-4-methoxy-acetophenone[14]、2,3-(S)-双没食子酸-D-葡萄糖[2,3-(S)-(4,4′,5,5′,6,6′-Hexahydro-xydiphenoyl)-Dglucose]、6-O-没食子酸-2,3-(S)-双没食子酸-D-葡萄糖、4,6-二-O-没食子酸-2,3-(S)-双没食子酸-D葡萄糖、1,6-二-O-没食子酸-2,3-(S)-双没食子酸-D-葡萄糖、1,2-二-O-没食子酸-3,6-(R)-双没食子酸-β-D-葡萄糖、1-O-二没食子酸-3,6(R)-双没食子酸-β-D-葡萄糖[12]、β-香树脂素、菜子甾醇(Campesterol)、环木波罗烯醇(Cycloartenol)、环桉烯醇(Cycloeucalenol)、24-亚甲基环木波罗烯醇、豆甾醇、谷甾醇、维生素E[5]、冠花毒甙元-β-D-葡萄糖(1→6)-β-D-葡萄糖(1→4)-α-L-鼠李糖甙(Corotoxigenin-β-D-glucopyranosyl(1→6)-β-D-glucopyranosyl(1→4)-α-L-rhamnopyranoside)[9]、鞣云实精(Corilagin)、杜英素(Elaeocarpusin)、风露草素(Furosin)、石榴叶素(Punicafolin)、枫杨宁(Pterocaryanin)B、C、1-O-棓酰英国栎精(1-O-Galloylpedunculagin)、诃子宾(Terchebin)[12]、槲皮素、芸香甙[1]、烟酰胺[2]、纤维素[6]、矿物质和微量元素[4]

参考文献 [1] 江苏省植物研究所等.新华本草纲要.第2册.上海科学技术出版社 1991∶226 [2] CA 1990;112∶95554b [3] CA 1990;112∶175572w [4] CA 1987;107∶196967r [5] CA 1988;109∶89736j [6] CA 1986;104∶222042v [7] CA 1981;95∶3440r [8] 国外医药(植物药分册) 1991;6(4)∶177 [9] Chem Pharm Bull 1976;24(11)∶2886 [10] Chem Pharm Bull 1990;38(3)∶698 [11] Chem Pharm Bull 1989;37(11)∶2940 [12] Chem Pharm Bull 1989;37(8)∶2063 [13] Tetrahedron Lett 1978;(2)∶139 [14] J Nat Prod 1991;54(5)∶1409 [15] Phytochemistry 1982;21(5)∶1180 [16] J Nat Prod 1990;53(3)∶638 [17] Phytochemistry 1990;29(1)∶267 [18] Phytochemistry 1989;28(9)∶2443

【药性】:

主治 ❶ 《中国药用植物图鉴》:“调整消化功能,治胃溃疡,十二指肠溃疡。”
❷ 《新华本草纲要》:“全株:用于止血,接骨,消肿。根、叶、花:用于血尿。茎皮:外用于犬咬伤。”

用法用量 内服:煎汤,9~12g,或研末为散。

。【临床应用】:

单方应用 ❶ 《广西植物名录》:“治血尿:野梧桐根、叶、花适量,水煎服。”
❷ 《浙江天目山药用植物志》:“治十二指肠溃疡,呕吐,驱虫:野梧桐适量,水煎服;外用浸膏剂治恶疮肿毒。”

随便看

 

离鸟网收录3541549条中英文词条,其功能与新华字典、现代汉语词典、牛津高阶英汉词典等各类中英文词典类似,基本涵盖了全部常用中英文字词句的读音、释义及用法,是语言学习和写作的有利工具。

 

Copyright © 2004-2024 vtrois.com All Rights Reserved
更新时间:2026/4/6 14:41:38