网站首页  词典首页


请输入您要查询的字词:

 

字词 野菰
类别 中英文字词句释义及详细解析
释义 野菰

【概况】:

异名 烟管头草、土灵芝草(江苏),蛇箭草、赤膊花(江西),僧帽花(杭州)、管真花(福建),烟斗花(广

基源 为列当科野菰属植物野菰的全草及花。

野菰属全世界有4种;中国有3种,3种入药。

原植物 野菰Aeginetia indica Roxb.

形态 一年生寄生草本,高15~40cm。根稍肉质,有树状细小分枝。茎黄褐色或紫红色,不分枝可自基部处有分枝。叶肉红色,卵状披针形或披针形,长5~10mm,宽3~4mm,两面光滑无毛。花常单生茎端,稍俯垂。

花梗粗壮,常直立,长10~30cm,无毛,常有紫红色条纹。花萼一侧裂开至近基部,长2.5~4.5cm,紫红色、黄色或黄白色,有紫色条纹,先端急尖或渐尖。

花冠带粘液,常与花萼同色,上部带紫色,干时变黑色,长4~6cm,不明显二唇形,筒部宽,稍弯曲,在花丝著生处变窄,顶端5浅裂,上唇裂片和下唇的侧裂片较短,近圆形,全缘,下唇中间裂片稍大。雄蕊4,内藏,花丝著生于距筒基部1.4~1.5cm,紫色,花药黄色,有粘液,成对粘合,仅1室发育,下方一对雄蕊的花隔基部延长成距。子房1室,侧膜胎座4个,横切面有极多分枝,花柱无毛,长1~1.5cm,柱头膨大,肉质,淡黄色,盾状。蒴果圆锥状或长卵球形,长约2~3cm,2瓣开裂。

种子多数,细小,椭圆形,黄色,种皮网状。花期4~8月,果期8~10月。(图见《中国高等植物图鉴》.第4册.109页.图5631)

生境与分布 生于山坡或山谷土层深厚、湿润及枯叶多的地方。

分布于江苏、安徽、浙江、江西、福建、台湾、湖南、广东、广西、四川、贵州和云南各省区。

。【化学】:

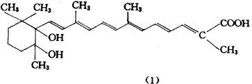
含野菰酸(Aeginetic acid)、野菰内酯(Aeginetolide)、β-谷甾醇[1]、多烯D、F(Polyene D.F)[2]和多烯E(Polyene E)(1)[2,3]

参考文献 [1] Indian J Chem Sect B 1977;15B(6)∶540 [2] Indian J Chem Sect B 1977;15B(6)∶550 [3] CA 1985;102∶56093z

【药性】:

性味 ❶ 《全国中草药汇编》:“苦,凉。有小毒。”
❷ 《江西草药》:“性凉,味苦。有毒。”

功效 清热解毒,消肿,凉血。

主治 咽喉肿痛,尿路感染,骨髓炎,疔疮,蛇咬伤。 ❶ 《新华本草纲要》:“用于扁桃体炎,咽喉炎,尿路感染,骨髓炎等。花:捣烂,调麻油少许,外敷疮疖,毒蛇咬伤等症。”

用法用量 内服:煎汤,9~15g。

外用:捣烂敷患处。

。【临床应用】:

方选和验方 ❶ 《浙江药用植物志》:“治骨髓炎:鲜野菰根及花适量,捣烂外敷;另用野菰全草15~30g,甘草3g,水煎服。”
❷ 《浙江药用植物志》:“治毒蛇咬伤:野菰花30g,麝香0.3g,蜈蚣7条,同浸于麻油内,取油外搽。”
❸ 《湖南药物志》:“治毒蛇咬伤:鲜野菰全草、七叶黄荆、水芙蓉叶、半边莲、鬼针草各等量,捣烂,外敷伤口周围。”

单方应用 ❶ 《江西草药》:“治疔疮:野菰花,麻油少许,捣烂外敷。”
❷ 《福建药物志》:“治哮喘:野菰15g,黄酒酌量,水煎服。”
❸ 《浙江药用植物志》:“治咽喉肿痛:野菰全草15~30g,水煎,冲冰糖或蜜服;或全草捣烂取汁加醋适量,漱口用。”
❹ 《浙江药用植物志》:“治子宫脱垂:鲜野菰花9g,加冰糖少许,黄酒冲服。”
❺ 《湖南药物志》:“治指头疔:鲜野菰适量,捣烂,加酒糟、食盐少许,贴敷患处。”

食疗 ❶ 《福建药物志》:“治鼻衄:野菰15g,猪瘦肉酌量,水炖服。”
❷ 《福建药物志》:“治脱肛:野菰30g,猪大肠60g,炖服。”
❸ 《湖南药物志》:“治淋浊,四肢无力:野菰全草30g,猪脚同煮食服。”

随便看

 

离鸟网收录3541549条中英文词条,其功能与新华字典、现代汉语词典、牛津高阶英汉词典等各类中英文词典类似,基本涵盖了全部常用中英文字词句的读音、释义及用法,是语言学习和写作的有利工具。

 

Copyright © 2004-2024 vtrois.com All Rights Reserved
更新时间:2026/5/26 20:58:02