网站首页  词典首页


请输入您要查询的字词:

 

字词 金刚克新
类别 中英文字词句释义及详细解析
释义 金刚克新

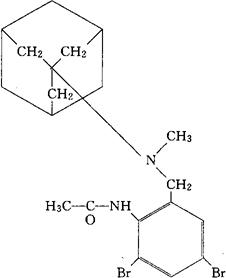
C20H26Br2N2O=470.25

CAS-54785-02-3

α-(1-金刚烷代甲氨基)-4′,6′-二溴-邻-N-乙酰甲苯胺。

α-(1-Adamantylmethylamino)-4′,6′-dibromo-oacetotoluidide.

N-[2,4-二溴-邻-[(甲基三环[3.3.1.11,7]癸-1-基氨基)甲基]苯基]乙酰胺。

N-[2,4-Dibromo-o-[(methyl tricyclo[3.3.113,7]dec-1-xylamino)methyl]phenyl]acetamide.

祛痰药,粘液溶解药,解痉药。

阿达美星。

Adamexine.

INN,USAN.

随便看

 

离鸟网收录3541549条中英文词条,其功能与新华字典、现代汉语词典、牛津高阶英汉词典等各类中英文词典类似,基本涵盖了全部常用中英文字词句的读音、释义及用法,是语言学习和写作的有利工具。

 

Copyright © 2004-2024 vtrois.com All Rights Reserved
更新时间:2026/4/6 17:40:32