网站首页  词典首页


请输入您要查询的字词:

 

字词 金刚帕仑
类别 中英文字词句释义及详细解析
释义 金刚帕仑

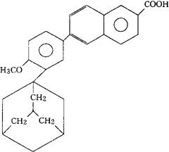
C28H28O3=412.91

CAS-106685-40-9

6-(4-甲氧基-3-三环[3.3.1.13,7]癸-1-基苯基)-2-萘羧酸。

6-(4-Methoxy-3-tricycolo[3.3.1.13,′]dec-1-ylphenyl)-2-naphthalenecarboxylic acid.

6-[3-(1-金刚烷基)-4-甲氧基苯基]-2-萘酸。

6-[3-(1-Adamantyl)-4-methoxyphenyl]-2-naphthoic acid.

抗痤疮(粉刺)药。

Adapalene,CD 271.

INN,USAN.

随便看

 

离鸟网收录3541549条中英文词条,其功能与新华字典、现代汉语词典、牛津高阶英汉词典等各类中英文词典类似,基本涵盖了全部常用中英文字词句的读音、释义及用法,是语言学习和写作的有利工具。

 

Copyright © 2004-2024 vtrois.com All Rights Reserved
更新时间:2026/4/7 6:09:22