网站首页  词典首页


请输入您要查询的字词:

 

字词 金属的冶炼
类别 中英文字词句释义及详细解析
释义 金属的冶炼

1.金属的冶炼:把金属从矿石中提炼出来,叫做金属的冶炼.

2.金属冶炼原理:冶炼金属的实质是使金属化合物中的金属离子得到电子变成金属原子.

3.金属冶炼步骤:第一步,矿石的富集,除去杂质,提高矿石中有效成分的含量;第二步,冶炼;第三步,是精炼,采用一定方法提炼纯金属.

4.金属冶炼的方法:

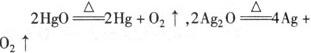
(1)热分解法:在金属活动性顺序中位于铜后面的金属的氧化物受热即可分解.如:

(2)热还原法:在金属活动性顺序中位于Mg~Cu之间的金属冶炼一般用焦炭、CO、H2和活泼金属做还原剂即可制得这些金属的单质.如:

(3)电解法:此法适用于冶炼K、Ca、NaMg、Al等还原性很强的金属.如:

注 ❶ 电解冶炼法冶炼金属,解决了很活泼的金属(K、Ca、Na、Mg、Al等)的阳离子难以被还原的问题,或者说电解冶炼法一般用于很活泼的金属的冶炼.电解冶炼法冶炼金属要消耗大量的电能,成本较高.在工业生产中要注意节能增放.

❷ 离子化合物在熔化状态下电离,可电解;共价化合物即使熔化也不电离,不能电解Al2O3、MgCl2、NaCl都是离子化合物,在熔化状态下电离的电离方程式为:

Al2O3=2Al3++3O2—

NaCl=Na++Cl

❸ 有的金属冶炼既可以用热还原法,又可以用电解法,在热还原法中,也可以采用不同的还原剂.对于一种金属的冶炼,至于采用什么样的冶炼方法、选用什么样的还原剂,要根据生产原料、设备和金属的用途等多种因素综合确定.

随便看

 

离鸟网收录3541549条中英文词条,其功能与新华字典、现代汉语词典、牛津高阶英汉词典等各类中英文词典类似,基本涵盖了全部常用中英文字词句的读音、释义及用法,是语言学习和写作的有利工具。

 

Copyright © 2004-2024 vtrois.com All Rights Reserved
更新时间:2026/4/7 14:16:22