网站首页  词典首页


请输入您要查询的字词:

 

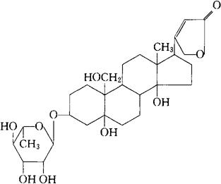
字词 铃兰毒甙醇
类别 中英文字词句释义及详细解析
释义 铃兰毒甙醇

C29H44O10=552.66

CAS3253-62-1

K-毒毛旋花子醇基-3-鼠李糖甙。

K-Strophanthidol-3-rhamnoside.

强心药。用于治疗心力衰竭、心律过速。

Convallatoxol,Perconval.

随便看

 

离鸟网收录3541549条中英文词条,其功能与新华字典、现代汉语词典、牛津高阶英汉词典等各类中英文词典类似,基本涵盖了全部常用中英文字词句的读音、释义及用法,是语言学习和写作的有利工具。

 

Copyright © 2004-2024 vtrois.com All Rights Reserved
更新时间:2026/4/7 12:35:27