铃兰毒甙[中]
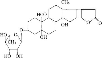
C29H42O10=550.65 CAS-508-75-8 K-毒毛旋花子配基-3-L-鼠李糖甙。 K-Strophanthidine-3-L-rhamnoside. 3β-[(6-去氧-α-L-甘露吡喃基)氧基]-5,14-二羟-19-氧代-3β,5β-卡-20(22)-烯内酯。 3-[(6-Deoxy-α-L-mannopyranosyl)oxy]-5,14-dihydroxy-19-oxo-3β,5β-card-20(22)-enolide. 强心药。用于充血性心力衰竭,或心原性休克,房性心动过速。 君影草毒甙,铃兰毒苷醇。 Convallatoxin,Convallaton,Corglykon,Strophanthidin,Pelconvae,α-L-γ-Rhamnoside. MI.  |