网站首页  词典首页


请输入您要查询的字词:

 

字词 铃茵陈
类别 中英文字词句释义及详细解析
释义 铃茵陈

【名称出处】:《中药志》

【概况】:

异名 金钟茵陈(《滇南本草》),黄花茵陈(《植物名实图考》),吊钟草(《南京民间药草》),灵茵陈(《江苏植物志》),吹风草(《东北药用植物志》),土茵陈、角茵陈(《中药志》),山茵陈(《闽东本草》),油罐草(《贵州药用植物调查》),北刘寄奴、草茵陈(《浙江民间常用草药》)。

基源 为玄参科阴行草属植物阴行草的全草。阴行草属约3种产于亚洲;中国有2种,2种均入药。

原植物 阴行草 Siphonostegia chinensis Benth.

历史 本品原名阴行草,始见于《植物名实图考》,云:“阴行草,从生,茎硬有节,褐色,有微刺;细叶;花苞似小罂,上有歧,瓣如金樱子形而深绿;开小黄花,略似豆花。……湖南呼黄花茵陈,其茎叶颇似蒿,故名。……滇南谓之金钟茵陈,既有其实形,亦闻名易晓。”所述及附图,应即本品。

形态 一年生草本,高25~70cm,全株被白色柔毛。茎直立,上部分枝。叶对生,上部叶互生,有翅状短柄;叶片轮廓为三角状卵形,长2~6cm,宽1.5~3cm,羽状深裂,裂片3~4对,线状披针形,边缘常为不整齐的齿状缺刻,基部狭窄下延成叶状柄。苞片披针形至线形,近全缘或3浅裂。花单朵腋生及顶生,有短柄,密集枝端排列成总状花序;花萼筒状,筒部长约1.2~2cm,有脉10条,被短粗毛,先端分裂,裂片披针形,长3~5mm;花冠唇形,黄色,有时上唇为紫红色,长约2.5cm,上唇兜状,全缘,下唇3裂,中央一裂片较大,外面被柔毛;雄蕊4,2强;雌蕊1,子房上位,2室,花柱伸出上唇外,微向上弯,柱头略膨大。蒴果包于萼内,狭长圆形,长约1.2cm,宽约3mm,先端尖锐,胞背开裂。

种子多数,长卵形,有皱纹,黑色。花期7~8月,果期9~10月。(图见《江苏植物志》.下册.745页.图1973)

生境与分布 生于旷野草丛,丘陵或山下坡路旁。中国大部分地区均有分布。。【生药】:

采集 8~9月割取全草,晒干。

药材产于江苏、安徽、浙江、云南、广西。

鉴别 全草长30~60cm。茎分枝,表面紫褐色,被黄白色短柔毛,基部毛较少或近无,质坚实而硬,折断面黄白色,中央有髓。叶片多破碎脱落,皱缩,质脆。花序著生在枝端,花冠多萎黄,花萼黄褐色,宿存,内萼常藏有多数棕褐色的种子。

贮藏 置通风干燥处。

。【化学】:

从带花果的全草中分得3-羟基-16-甲基-十七羧酸(3-Hydroxy-6-methylheptadecanoic acid)、芹菜素(Apigenin)、木犀草素(Luteolin)、三十四和三十五烷、β谷甾醇[1]

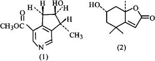
地上部分分得1个吡啶单萜烯类新生物碱,称Isocantleyine(5H-吡啶-4-羧酸6,7-二氢-6-羟基-7-甲基-甲基酯;5H-Pyridine-4-carboxylic acid,6,7-dihydro-6-hydroxy-7-methyl-methylester)(1)和1个内酯类成分Loliolide(2)[2]。挥发油中共鉴定出35个组分[3]。还报道含黄酮、香豆素、有机酸、氨基酸、多肽、蛋白质、可溶性糖类、强心甙、微量元素Fe、Mn、Ni、Sr、Zn、Cu、Co、V、Mc、Se、Ti、Cr、P等[4,5]

参考文献 [1] 中草药 1988;19(12):38 [2] 药学学报 1992;27(2):113 [3] 高等学校化学学报 1986;7(10):905 [4] 中草药 1985;16(6):46 [5] 时珍国药研究 1993;4(3):17

【药理】:

大鼠连续15d ig醋酸棉酚40mg/(kg·d)可使SGPT明显升高,如同时给于本品提取的总生物碱350mg/kg或总黄酮2g/kg 15d可使棉酚引起的高SGPT显著下降(p<0.05)。

总生物碱和总黄酮还可使四氯化碳中毒大鼠的SGPT稍有下降,但差异不显著(p>0.05)。

毒性 总生物碱ig给于小鼠的LD50为1.54±0.23g/kg,总黄酮ig给于小鼠的LD50为17.25±1.3g/kg。

参考文献 中草药 1985;16(6):46

。【药性】:

性味 苦,凉。

❶ 《滇南本草》:寒,微苦。”
❷ 《贵州植物调查》:“辛、苦,凉。”

功效 清热利湿,活血祛瘀。

主治 黄疸,小便不利,水肿腹胀,跌损瘀痈,血痢,血淋,白带过多,月经不调,癥瘕积聚,产后停瘀腹痛。 ❶ 《滇南本草》:“利小便,疗胃中湿热,或眼仁发黄,或周身黄肿,消水肿。”
❷ 《植物名实图考》:“治饱胀,顺气化痰,发诸毒。”
❸ 《东北药用植物志》:“破血下胀,下血止痛,产后余疾,止金疮血,心腹痛下气,水胀血气,通妇人经脉,癃结,止霍乱下泻,小儿尿血。”
❹ 《上海常用中草药》:“清热利尿。治小便短赤,黄疸,肝炎。”
❺ 《贵州草药》:“解表,散寒热,利湿祛风。”
❻ 金华《常用中草药单方验方选编》:“治胆囊炎,急性肾炎,白带过多。”

用法用量 内服:煎汤,9~15g(鲜品30~60g);或研末。

。【临床应用】:

单方应用 ❶ 《福建民间草药》:“治湿热黄疸、小便不利、遍身发黄:铃茵陈30~60g,水煎服,日服2次。”
❷ 《福建民间草药》:“治热闭小便不利:铃茵陈15~30g,水煎,调冬蜜服,日1~2次。”
❸ 《泉州本草》:“治跌打损伤,瘀血作痛:铃茵陈研末,泡酒服。每次3~6g,每日服1次,服3~4日。”
❹ 《泉州本草》:“治血痢:铃茵陈30~90g,水煎服。”
❺ 《浙江民间常用草药》:“治白带:铃茵陈30g,水煎,冲黄酒、红糖服。”
❻ 《浙江民间常用草药》:“治感冒咳嗽:铃茵陈9~15g,水煎服。”
❼ 《闽东本草》:“治血淋、小腹胀满:铃茵陈15g,水煎加冬蜜服,日服2次。”

随便看

 

离鸟网收录3541549条中英文词条,其功能与新华字典、现代汉语词典、牛津高阶英汉词典等各类中英文词典类似,基本涵盖了全部常用中英文字词句的读音、释义及用法,是语言学习和写作的有利工具。

 

Copyright © 2004-2024 vtrois.com All Rights Reserved
更新时间:2026/5/27 10:28:12