网站首页  词典首页


请输入您要查询的字词:

 

字词 铬鞣液的检测
类别 中英文字词句释义及详细解析
释义 铬鞣液的检测

(一)还原完全与否的检查

将一滴浓铬鞣液在试管中加水稀释后,加数滴盐酸使呈酸性,然后加10%碘化钾溶液0.5mL及淀粉指示剂溶液数滴。如溶液出现紫黑色,表示尚有六价铬未还原完全。

(二)铬含量的测定(过氧化钠法)

1.原理

用过氧化钠将三价铬氧化成六价铬,然后使六价铬酸盐在酸性介质中将碘化钾氧化,释出一定量的碘。用硫代硫酸钠标准溶液滴定释出的碘,即可测得溶液中铬的含量。主要反应如下:

2Na2CrO4+16HCl+6KI→2CrCl3+4NaCl+6KCl+3I2+8H2O

I2+Na2S2O3→2NaI+Na2S4O6

2.试剂

(1)过氧化钠,固体;

(2)1∶1盐酸溶液,或20%硫酸溶液;

(3)10%碘化钾溶液;

(4)1%淀粉指示剂溶液;

(5)0.1mol·L-1Na2S2O3标准溶液;

(6)5%硫酸镍溶液。

3.测定步骤

(1)将浓铬鞣液试样稀释成分析试液:根据铬鞣液试样的相对密度,按下表吸取5~50mL放入250mL容量瓶,稀释到刻线,即为分析溶液备用。

如相对密度大于1.384,则用称量法取样。如果相对密度小于1.075,则取5mL滤液直接分析。

(2)氧化:吸取上述分析试液10mL,放入250mL碘价瓶中,加入过氧化钠约2g及蒸馏水50mL,缓缓煮沸3~5min,此时溶液变成纯黄色。为了促进剩余的过氧化钠分解,加入5%硫酸镍溶液5mL,再煮沸至溶液中无小气泡放出为止。

(3)释出碘:将瓶冷却,加入1∶1盐酸溶液或20%硫酸溶液,直至沉淀完全溶解后再多加5mL,并用蒸馏水冲洗瓶壁。冷却后加入10%碘化钾溶液10mL。盖好瓶塞,在暗处放5min使其作用完全。用50~100mL蒸馏水冲洗瓶塞并稀释。

(4)滴定:用0.1mol·L-1Na2S2O3溶液滴定,至溶液呈黄绿色时,加入淀粉指示剂溶液约1mL,继续滴定至蓝黑色消失,溶液呈Cr3+的翠绿色即为终点。

4.结果计算

式中 c1——Na2S2O3标准溶液的浓度(mol·L-1);

V1——NazS2O3标准溶液滴定消耗的体积(mL);

V0——吸取浓铬鞣液的体积(mL);

250、10——铬鞣液试样稀释配成的分析试液总体积和测定时吸取的体积(mL);的毫摩尔质量(g/mmol)。

(三)碱度的测定(碱滴定法)

1.原理

用NaOH标准溶液滴定煮沸状态下的铬鞣液中的酸,其反应式如下:

Cr(OH)SO4+2NaOH→Cr(OH)3Na↓(2SO4

2.试剂

(1)0.1mol·L-1NaOH标准溶液;

(2)1%酚酞酒精溶液。

3.测定步骤

吸取测定铬含量的分析试液10mL,注入体积为150mL的白瓷蒸发皿内,加入100mL蒸馏水,滴加4~6滴酚酞指示剂溶液,用氢氧化钠标准溶液滴定,至溶液出现灰紫色时即停止滴定。将溶液加热至沸,此时红色消失,然后继续滴定到溶液呈微红色不退即为终点。

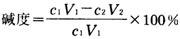
4.结果计算

式中 C1——测铬含量时所用Na2S2O3标准溶液的浓度(mol·L-1);

V1——测铬含量时所耗Na2S2O3标准溶液的体积(mL);

c2——本次滴定所用Na2S2O3标准溶液的浓度(mol·L-1);

V2——本次滴定所耗NaOH标准溶液的体积(mL)。

5.注意事项

(1)上述计算是指测定铬含量和碱度都取用同样体积的分析试液,如果不同须乘以一系数。

(2)本方法适用于含阳铬络合物和中性铬络合物的铬鞣液,如果铬鞣液中阴铬络合物较多,宜用草酸盐法。但该法在生产中极少使用。

(四)铬鞣液沉淀点的测定

沉淀点又称沉淀值或浑浊数,以加碱使铬鞣液开始出现沉淀或浑浊时,每毫升铬鞣液所需碳酸钠克数(或每升所需公斤数)来表示。

1.原理

当碱液加于铬鞣液中时,碱式三价铬盐的碱度逐步提高到一定数量时,部分铬络合物开始转变成氢氧化铬沉淀析出。

2.试剂

0.05mol·L-1Na2CO3溶液。或用0.1mol·L-1NaHCO3溶液(此时结果报告应注明)。

3.操作步骤

吸取过滤后的铬鞣液10mL于100mL烧杯中,在充足光线下用0.05mol·L-1碳酸钠溶液滴定,至出现轻微浑浊,经搅拌1~2min仍不消失,即为终点。

式中 c——碳酸钠溶液的浓度(mol·L-1);

V——碳酸钠溶液滴定所耗体积(mL);

0.106——Na2CO3的毫摩尔质量(g/mmol);

10——吸取铬鞣液试样的体积(mL)。

随便看

 

离鸟网收录3541549条中英文词条,其功能与新华字典、现代汉语词典、牛津高阶英汉词典等各类中英文词典类似,基本涵盖了全部常用中英文字词句的读音、释义及用法,是语言学习和写作的有利工具。

 

Copyright © 2004-2024 vtrois.com All Rights Reserved
更新时间:2026/4/5 18:17:28