网站首页  词典首页


请输入您要查询的字词:

 

字词 铸铁省煤器的设计计算
类别 中英文字词句释义及详细解析
释义 铸铁省煤器的设计计算

[说明]在没有省煤器的锅炉上,安装省煤器,根据需要与可能,增设空气预热器,以降低排烟温度,回收热能。但烟温应在露点以上,以防受热面的腐蚀。

1.省煤器吸热量计算

式中 Q——省煤器总吸热量(kJ/h)

D——锅炉蒸发量(kg/h)

t1——省煤器出口水温(℃),取低于饱和汽温40℃

t2——给水温度(℃)

2.平均温差的计算

式中 △t1、△t2——省煤器出入口处烟气对水的温差(℃)

α——修正系数,见表4-1-16

表4-1-16 修正系数α

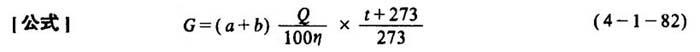
3.烟气流量计算

式中 G——烟气流量(m3/h)

Q——锅炉总吸热量(kJ/h)

D——锅炉蒸发量(kg/h)

i″——蒸汽比能(kJ/kg)

i——给水比能(kJ/kg)

η——锅炉效率,以小数计

t——烟气平均温度(℃)

b——燃料系数,见表4-1-17

α——省煤器处的平均空气过剩系数

α0——炉膛过剩空气系数

△a——各处漏风系数

△a1——省煤器漏风系数

表4-2-17 燃料系数b

4.烟气流速计算

式中 u——流速(m/s)

A——烟气道路有效断面积(m2)

∑V——总烟气量(m3/h)

5.铸铁省煤器传热系数计算

[说明]参考表4-1-18。

6.省煤器受热面积的计算

表4-1-18 铸铁省煤器传热系数K

式中 F——受热面积(m2)

Q——省煤器吸热量(kJ/h)

k——传热系数[kJ·(m2·h·C)]

△t——平均温差(℃)

随便看

 

离鸟网收录3541549条中英文词条,其功能与新华字典、现代汉语词典、牛津高阶英汉词典等各类中英文词典类似,基本涵盖了全部常用中英文字词句的读音、释义及用法,是语言学习和写作的有利工具。

 

Copyright © 2004-2024 vtrois.com All Rights Reserved
更新时间:2026/5/25 15:45:39