链异烟肼
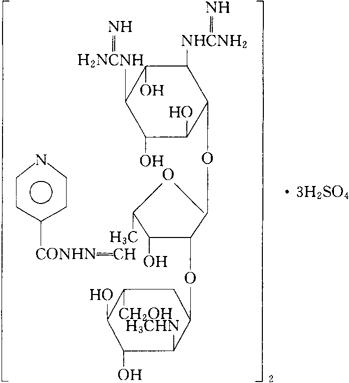
(C27H44N10O12)2·(H2SO4)3=1695.63 CAS-5667-71-0 4-吡啶羧酸酰肼与O-2-去氧-2-(甲氨基)-α-L-吡喃葡萄糖-(1→2)-O-5-去氧-3-C-甲酰-α-L来苏呋喃糖-(1→4)-N,N-双(氨基亚氨基甲基)-D-链霉胺形成的腙的硫酸盐(2∶3)。 4-Pyridinecarboxylic acid hydrazide,hydrazone with O-2-deoxy-2-(methylamino)-α-L-glucopyransyl-(1→2)-O-5-deoxy-3-C-formyl-α-L-lyxofuranosyl(1→4)-N,N-bis(aminoiminomethyl)-D-streptamine sulfate(2∶3)(salt). 异烟酰肼与链霉素形成的腙的硫酸盐(2∶3)。 Lsonicotinic acid hydrazide,hydrazone with streptomycin,sulfate(2∶3). 抗结核药。 Streptonicozid,Spteptoniazid. INN(Streotoniazid),BAN,USAN.  |