网站首页  词典首页


请输入您要查询的字词:

 

字词 链霉素
类别 中英文字词句释义及详细解析
释义 链霉素

抗生素。

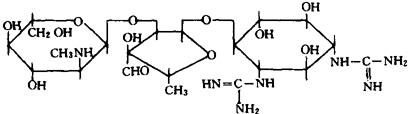
由灰色链霉菌(Streptomyces griseus)代谢产物。化学名称:2,4二脉基3,5,6,-三羟基环己基-5-脱氧-2-O-(2-脱氧-2甲胺基a-L-吡喃葡萄基)-3-C甲酰-β-L-来苏戊呋喃糖甙。化学结构式如下。1944年发现,主要用于医药上,对革兰氏阴性或阳性菌有效。1952年开始用于植物细菌性病害防治。如梨火疫病、柑橘溃疡病、大白菜软腐病、烟草野火病、马铃薯腐烂病、黄瓜角斑病等,对卵菌引起的病害亦有效,如霜霉病、晚疫病、黑胫病等。

具内吸作用,低温时残效一星期。阳光晴天残效3~4天,高温时易产生药害。

随便看

 

离鸟网收录3541549条中英文词条,其功能与新华字典、现代汉语词典、牛津高阶英汉词典等各类中英文词典类似,基本涵盖了全部常用中英文字词句的读音、释义及用法,是语言学习和写作的有利工具。

 

Copyright © 2004-2024 vtrois.com All Rights Reserved
更新时间:2026/4/7 20:22:35