网站首页  词典首页


请输入您要查询的字词:

 

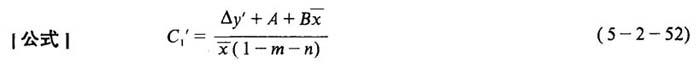
字词 销售价格变动预测计算
类别 中英文字词句释义及详细解析
释义 销售价格变动预测计算

式中 C1′——变动后价格(元/t纸)

△y′——变化后月平均利润(元)

其它同上

[例5]在以上各例中,若月产量控制在482t,成本无潜力,效益需要达到全年30万元,销售价格将有何变动?

销售价比原来降低=C′-C=760-7 6049.35

=10.65(元)

随便看

 

离鸟网收录3541549条中英文词条,其功能与新华字典、现代汉语词典、牛津高阶英汉词典等各类中英文词典类似,基本涵盖了全部常用中英文字词句的读音、释义及用法,是语言学习和写作的有利工具。

 

Copyright © 2004-2024 vtrois.com All Rights Reserved
更新时间:2026/4/7 0:00:38