网站首页  词典首页


请输入您要查询的字词:

 

字词 销售利润率
类别 中英文字词句释义及详细解析
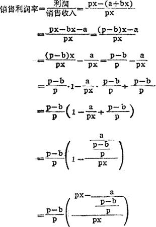
释义 销售利润率

指利润占销售收入的比重。它在管理会计中,只有保本点以上的销售额(即安全界限部分)才能为企业提供利润,所以,销售利润率可按下列公式计算:

销售利润率=销售利润÷销售收入×100%

或=贡献毛益率×安全界限率

设:P为销售单价,x为销量,a为固定成本总额,b为单位变动成本。则:

上列公式中的为计算贡献毛益率的公式,为保本点销售额的公式,而为安全界限率的公式,因此上列公式即:

随便看

 

离鸟网收录3541549条中英文词条,其功能与新华字典、现代汉语词典、牛津高阶英汉词典等各类中英文词典类似,基本涵盖了全部常用中英文字词句的读音、释义及用法,是语言学习和写作的有利工具。

 

Copyright © 2004-2024 vtrois.com All Rights Reserved
更新时间:2026/5/25 9:45:35