网站首页  词典首页


请输入您要查询的字词:

 

字词 锅炉回收热量和可加热水量的计算
类别 中英文字词句释义及详细解析
释义 锅炉回收热量和可加热水量的计算

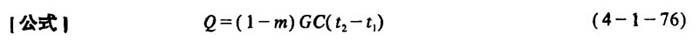
1.回收热量计算

式中 Q——回收热量(kJ/h)

m——热水器散热损失(%)

G——锅炉排烟量(m3/h)

C——烟气平均比热容[kJ/(m3·℃)]

t2——排烟温度(℃)

t1——烟气出口温度(℃)

2.锅炉回收热量折算节约能量的计算

式中 E——节约能量(kJ/h)

η——锅炉热效率(%)

Q——回收热量(kJ/h)

3.回收热量折合标煤重量计算

式中 W——节约标煤重量(kg/h)

E——节约能量(kJ/h)

K——标煤发热量(kJ/kg),见表4-1-2

表4-1-2 几种煤的发热量及其成分

4.回收热量可加热水量的计算

式中 G——加热水量(kg/h)

Q——回收热量(kJ/h)

C——水的比热容[4.1868kJ/(kg·℃)]

t7——热水出口温度(℃)

t1——环境温度(℃)

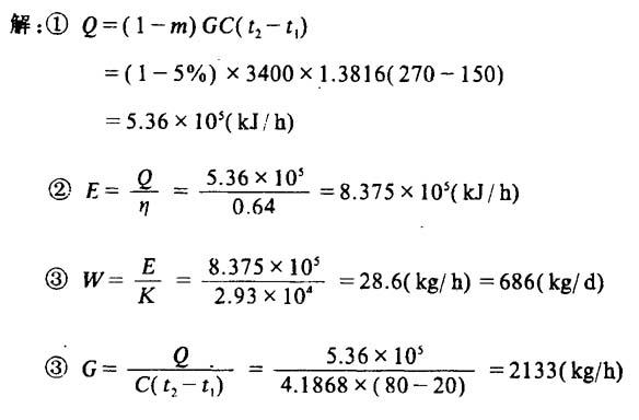
5.计算实例

[例]某台蒸发量为2t/h的锅炉,效率为η=0.64,排烟温度为270℃,排烟量为3400标m3/h,环境温度为20℃,其中烟气平均比热容为1.3816kJ/(m3·℃),采用真空相变热水器加热水,热水器散热损失为5%,平均烟气的出口温度降到150℃,标煤发热值为2.93×104kJ/kg,热水出口温度为80℃,试求:
❶ 回收热量;
❷ 节约能量;
❸ 折合标煤量;
❹ 可加热水量。

随便看

 

离鸟网收录3541549条中英文词条,其功能与新华字典、现代汉语词典、牛津高阶英汉词典等各类中英文词典类似,基本涵盖了全部常用中英文字词句的读音、释义及用法,是语言学习和写作的有利工具。

 

Copyright © 2004-2024 vtrois.com All Rights Reserved
更新时间:2026/4/7 1:30:46