网站首页  词典首页


请输入您要查询的字词:

 

字词 锅炉能量平衡计算
类别 中英文字词句释义及详细解析
释义 锅炉能量平衡计算

锅炉的能量平衡一般指锅炉的输入热量与输出热量及各项热损失的平衡。

对于固体或液体燃料而言,它们通常以每公斤燃料量为基础来计算,对于气体燃料则以每标准立方米的燃料量为基础计算。

1—锅炉整体(连周尾部受热面) 2—锅炉本身(无尾部受热面)

出力≤2t/h快装锅炉及火管锅炉按下式计算:

式中:F——散热表面积,m2

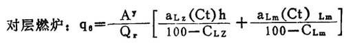
❺ 灰渣物理热损失q6计算:

式中:(Ct)h——灰渣焓,查表14—2—78

表14-2-78

(ct)Lm——漏煤的比热和温度的乘积、煤的比热为0.24~0.4kcal/kg℃,漏煤的温度待实测。

一般小型锅炉烧烟煤、无烟煤等灰分较低的煤时,这部分损失很小,可以忽略不计。但当测定燃烧灰分很高的劣质煤的炉子时(如沸腾炉等)这项损失就不可忽略。

热平衡的允许误差为0.5%,在有连续蒸煮器和连续漂白的情况下,可以按上述方法测试和计算,如系间歇蒸煮锅和间歇漂白池的工厂,则必须按24小时的连续测定值米进行计算,否则将是失实的数据。

3.能量平衡表

表14-2-79

随便看

 

离鸟网收录3541549条中英文词条,其功能与新华字典、现代汉语词典、牛津高阶英汉词典等各类中英文词典类似,基本涵盖了全部常用中英文字词句的读音、释义及用法,是语言学习和写作的有利工具。

 

Copyright © 2004-2024 vtrois.com All Rights Reserved
更新时间:2026/4/7 2:54:50