网站首页  词典首页


请输入您要查询的字词:

 

字词 锥形除砂器的压头损失计算
类别 中英文字词句释义及详细解析
释义 锥形除砂器的压头损失计算

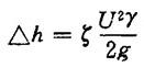
【公式】

式中 △h——压头损失(Pa)

γ——浆料重度(N/m3)

U——圆周速度(m/s)

U=ωR

ω——浆流旋转的角速度(1/s)

R——距中心轴线的距离(m)

ζ——阻力系数,对圆柱体部分直径为75mm和150mm的锥形除砂器,可由下式求得:

d1、dc、d——分别为进浆管、良浆排出管和除砂器圆柱部分的直径(m)

随便看

 

离鸟网收录3541549条中英文词条,其功能与新华字典、现代汉语词典、牛津高阶英汉词典等各类中英文词典类似,基本涵盖了全部常用中英文字词句的读音、释义及用法,是语言学习和写作的有利工具。

 

Copyright © 2004-2024 vtrois.com All Rights Reserved
更新时间:2026/4/8 0:59:49