网站首页  词典首页


请输入您要查询的字词:

 

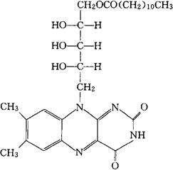
字词 长效核黄素
类别 中英文字词句释义及详细解析
释义 长效核黄素

C29H42N4O7=558.67

核黄素月桂酸酯。

Riboflavine laurate.

维生素类药。用于维生素B2缺乏症,降胆固醇核β脂蛋白。

长效维生素B2,月桂酸核黄素。

Riboflavine Laurate.

长效维生素B2注射液。

随便看

 

离鸟网收录3541549条中英文词条,其功能与新华字典、现代汉语词典、牛津高阶英汉词典等各类中英文词典类似,基本涵盖了全部常用中英文字词句的读音、释义及用法,是语言学习和写作的有利工具。

 

Copyright © 2004-2024 vtrois.com All Rights Reserved
更新时间:2026/4/8 1:11:27