闭合电路中的功率
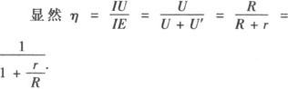
1.电源的功率(电源消耗的功率)P=IE或 ,P=IE——普遍适用, 只适用于外电路为纯电阻的电路. 2.电源的输出功率(外电路消耗功率) 电源的输出功率等于总电流跟路端电压的乘积:P=IU,此式适用于一切情况,即不论负载是什么性质的,公式P=IU都适用. 在电源负载为纯电阻时,电源的输出功率与外电阻R的关系是P=IU=I2R=RE2/(R+r)2=RE2/[(R—r)2+4Rr], 由此式可以看出:当外电阻等于内电阻(即R=r)时,电源输出功率最大,最大输出功率为Pmax=E2/4r,电源输出功率(P)与外电阻(R)的关系可以用P—R图象表示(如下图).  3.电源的发热功率(内耗功率),P′=I2r. 4.P总=P出+P内. 5.电源的效率 在闭合电路中,用“电源效率”来表征闭合电路中能量的有效利用率:   当R=r时,η=50%,内电阻上消耗的能量与输出能量相等;R>r时,η>50%;R 例 如图电路中,电阻R1=9Ω,R2=15Ω,电源电动势E=12V.内电阻r=1Ω.求:  (1)当电流表示数为0.4A时,变阻器R3的阻值多大? (2)R3阻值多大时,它消耗的电功率最大? (3)R3阻值多大时,电源的输出功率最大? 分析 由电路图可知,R1与R3并联后再与R1串联,电流表的示数是表示通过电阻R2的电流,根据串并联电路的特点以及闭合电路欧姆定律可求出该题的答案. 解 (1)设干路电流为I,根据并联电路的分流原理:  R3为30Ω时,它消耗的电功率最大. (2)设阻值为R′3时,它消耗的功率最大为P3,此时电路总外阻为  当 时消耗的功率最大,则R′3=6Ω. (3)设电阻值为R″3时,电源输出功率最大为Pm,  当外电路的总电阻R=r时,电源输出功率最大,因R>r,所以,当R越接近r时输出功率越大.则只有当R″3=0时,R接近r.此时电源输出功率最大. |