网站首页  词典首页


请输入您要查询的字词:

 

字词 间歇工作,直接加热的蒸煮锅的温度调节计算
类别 中英文字词句释义及详细解析
释义 间歇工作,直接加热的蒸煮锅的温度调节计算

[说明]这种蒸煮锅是用蒸汽直接送入到蒸煮锅内进行加热(见图4-6-10),在蒸煮开始之前,蒸煮锅装入木片,在木片上部残留著一些空气和蒸煮液。在加热时,锅内压力上升,之后,压力达到一定的工作范围,该值由蒸煮锅内排出一些气体和蒸汽来保持恒定。

1.蒸煮锅的物料平衡方程式

[说明]在用新鲜空气加热时,在一定的时间间隔内,蒸煮锅的物料平衡可用下式表示。

式中 g1——进入蒸煮锅内热蒸汽流量(kg/h)

g2——由蒸煮锅内经通风机排出的蒸汽—气体混合物的流量(kg/h)

γ——锅内液体容重(kg/m3)

V——液体体积(m3)

γ2——蒸汽—气体混合物容重(kg/m3)

V2——蒸汽—气体混合物体积(m3)

2.蒸汽—气体混合物的物料平衡式

[公式] (gu-g2)di=d(γ2V2) (4-6-69)

式中 gu——从蒸煮液中分离出的气体和蒸汽的流量(kg/h)

其它同上

3.蒸煮锅的热平衡方程式

❶ 热平衡的积分式

[公式] dQ=dJ-AVdp (4-6-70)

式中 Q——传给工作物体的热量(kJ)

J——工作物体的热焓(kJ/kg)

A——功的热当量[kJ/kg·m)],取A=×4.1868

V——工作物体的体积(m3)

P——压力(Pa)

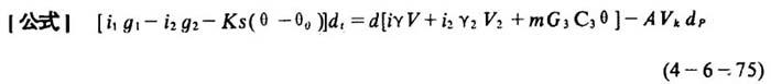
❷ 进入到蒸煮锅去的热量平衡式

式中 Q——热量(kJ)

i1——蒸汽热焓(kJ/kg)

i2——蒸汽—气体混合物的热焓(kJ/kg)

i2=i+R2 (4-6-72)

i——饱和温度时蒸煮液的热焓(kJ/kg)

i=Ct (4-6-73)

C——液体热容[kJ/(kg·℃)]

θ——锅内液体温度(℃)

R2——形成蒸汽的热焓(kJ/kg)

K——经过蒸煮锅壳的传热系数[kJ/(h·m3·℃)]

S——蒸煮锅的外表面积(m2)

θ0——周围空气温度(℃)

t——时间(h)

❸ 蒸煮锅热焓的变化

[公式] dJ=d(iγV+i2γ2V2+mG3C3θ), (4-6-74)

式中 m——蒸煮锅加热特性的系数

G3——固体物料量(kg)

C3——固体物料热容量[kJ/(kg·℃)]

mG3C3θ——固体物料(木片、锅壳、锅内衬)的热焓(kJ/kg)

其它同上

❹ 蒸煮锅的热平衡方程式

式中 Vk——蒸煮锅体积(m3)

其它同上

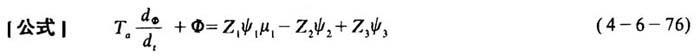
4.蒸煮锅的温度调节特性方程式

式中 Ta——对象的反应时间(h)

G——锅内液体重量(kg)

C——液体热容[kJ/(kg·℃)]

G3——蒸汽—气体混合物的重量(kg)

Φ——被调参数的相对值

Φ0——周围空气温度的相对值

θ0——周围空气温度(℃)

Z1、Z2、Z3——系数

ψ1、ψ2、ψ3——系数

其它同前

[讨论]假定蒸煮过程是自动调节的,并且在每个蒸煮阶段中都保持加热蒸汽的流量为恒定,则此时,Ta可以认为是常数。即:

式中符号含义及单位均同上

随便看

 

离鸟网收录3541549条中英文词条,其功能与新华字典、现代汉语词典、牛津高阶英汉词典等各类中英文词典类似,基本涵盖了全部常用中英文字词句的读音、释义及用法,是语言学习和写作的有利工具。

 

Copyright © 2004-2024 vtrois.com All Rights Reserved
更新时间:2026/5/25 16:38:27