间苯二酚甲醛树脂胶粘剂
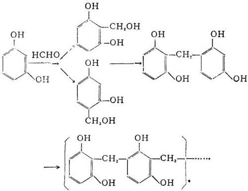
间苯二酚甲醛胶粘剂是以间苯二酚甲醛树脂为主要成分的胶粘剂。间苯二酚甲醛树脂系由一摩尔间苯二酚和0.6~0.65摩尔甲醛,在酸或碱存在下(或不加催化剂)于100~150℃下反应制得。由于间苯二酚苯核上比苯酚多一个羟基,即具有两个邻—对位对代定位基的羟基基团,所以反应速度迅速,所生成的羟甲基衍生物进一步缩聚而能交联成体形结构:  反应完毕冷却后用乙醇稀释,使之稳定。间苯二酚甲醛胶也可制成粉状固体。即将树脂中的水分蒸发而成,粉状胶粘剂在使用前预先溶于极性溶剂(水、乙醇、溶纤剂或其混合物)中。 间苯二酚甲醛胶在使用前应补加甲醛(多聚甲醛),使酚与醛之比为1∶1~2,即可在室温固化。另外,有时也加入其它催化剂,如草酸、柠檬酸、酒石酸或弱碱性化合物(乙醇胺)。催化剂只能在涂胶前临时加入。胶粘剂还可加入适量填料,必要时也可加入增塑剂,如甘油、甘油三醋酸酯等。 |