网站首页  词典首页


请输入您要查询的字词:

 

字词 防火保护层厚度的确定
类别 中英文字词句释义及详细解析
释义 防火保护层厚度的确定

防火保护材料选定以后,保护层厚度的确定十分重要。厚度小了达不到国家规定的钢结构建筑物的耐火等级要求,厚度大了又会造成浪费。

保护层厚度的大小受许多因素的影响,如隔热材料的种类、钢构件的类型(是柱还是梁,还有构件的截面系数Hp/A)、荷载大小及要求达到的耐火极限等。确定保护层厚度的最好办法是进行构件耐火试验。试验时可采用实际构件,也可采用标准构件。构件的尺寸,试验条件与方法,制定标准等应遵循现行《建筑构件耐火性能试验方法》(GB9978-88)和《钢结构防火涂料通用技术条件》等有关标准的规定。

钢梁和钢柱则可按以下方法确定:

1.试验预测法

根据标准构件的耐火试验测定结果,按以下公式推算不同截面实际构件的防火保护层厚度值:

其计算步骤如下:

(1)确定荷载等级C。

式中:S——构件在火灾下的设计荷载效应;

Ru——构件在室温下的承载力,梁为室温下达到全塑性弯矩时的荷载,柱为室温下能够承受的临界屈服荷载,即根据构件长细比按《钢结构设计规范》(GBJ17-88)附表3.3(Q235F即A3F)或附表3.6(16Mn)查出的稳定系数Φ乘截面的屈服承载力确定;

K——荷载系数。

柱:K=0.85

(2)确定钢构件的临界温度TS

临界温度是指钢构件达到破坏极限状态时的钢材温度。根据荷载等级C按表3-2-24采用。若为偏心受压柱,则Ts≤550℃。

表3-2-24 钢材的临界温度

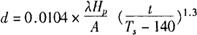
(3)计十算构件在规定的耐火极限时间内所需的保护层厚度d。

式中:t——构件的耐火极限(从有关规范查出);

λ——厚涂型钢结构防火涂料或不燃性板型材的导热系数,以实测值为准或按表3-2-23采用;

Hp/A——构件的截面系数。其中A为钢构件截面面积,Hp,为构件防火保护层的截面内周长,按表3-2-25确定;

表3-2-25 保护层覆盖的钢构件的Hp

Ts——钢构件的临界温度。

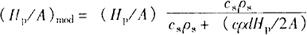
(4)保护层为重型材料或含水材料时,对厚度值应作如下修正。

❶ 若2cρdHp/A>csρs,则为重型材料,应采用(Hp/A)mod代替式中的Hp/A,重新计算d值。

式中:cs——钢材的比热容,cs=0.520kJ/(kg·K);

ρs——钢材的密度,ρs=7850kg/m3

c、ρ——防火保护材料的比热容和密度,以实测值为准或按表3-2-23采用。

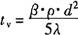
❷ 含水保护材料的温度达100℃时,水分蒸发,使构件温度滞后tv

式中:β——防火保护材料的平衡含水率,以实测值为准,或按表3-2-23采用。此时用tv值适当修正式中的t值,重新计算d值。

3.计算示例

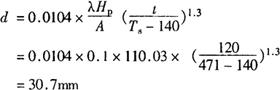
例:设有一两跨,受均布荷载的Ⅰ字形梁:

跨度l=12m;荷载q=21kN/m;塑性截面抵抗矩Wp=1702×103mm3;钢材室温屈服点fv=235N/mm2;梁的截而系数Hp/A=110.03m;箱形包覆,防火材料导热系数λ=0.1W/(m·K)。

求:耐火极限为2.00h时的保护层厚度。

解:

(1)计算荷载等级C:

Mp=Wp·fy=1702×235×103=400kN·m

室温下的破坏荷载为:

(2)确定临界温度Ts

查表3-2-24,由C=0.531得Ts=471℃。

(3)计算保护层厚度d:

随便看

 

离鸟网收录3541549条中英文词条,其功能与新华字典、现代汉语词典、牛津高阶英汉词典等各类中英文词典类似,基本涵盖了全部常用中英文字词句的读音、释义及用法,是语言学习和写作的有利工具。

 

Copyright © 2004-2024 vtrois.com All Rights Reserved
更新时间:2026/5/27 20:11:19