网站首页  词典首页


请输入您要查询的字词:

 

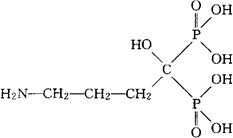
字词 阿仑膦酸
类别 中英文字词句释义及详细解析
释义 阿仑膦酸

C4H13NO7P2=249.10

CAS-66376-36-1

(4-氨基-1-羟丁烯基)二膦酸。

(4-Amino-1-hydroxybutylidene)diphospho-nic acid.

钙调节药。

阿仑酸。

Alendronic Acid.

INN,USAN.

随便看

 

离鸟网收录3541549条中英文词条,其功能与新华字典、现代汉语词典、牛津高阶英汉词典等各类中英文词典类似,基本涵盖了全部常用中英文字词句的读音、释义及用法,是语言学习和写作的有利工具。

 

Copyright © 2004-2024 vtrois.com All Rights Reserved
更新时间:2026/5/25 16:41:01