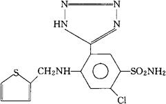
阿佐塞米
C12H11ClN6O2S2=370.83 CAS-27589-33-9 2-氯-5-(1H-四唑-5-基)-4-[(2-噻吩基甲基)氨基]-苯磺甲基酰胺。 2-Chloro-5-(1H-tetrazol-5-yl)-4-[(2-thienylmethyl)amino]-benzenesuifonamide. 2-氯-5-(1H-四唑-5-基)-N4-2-噻吩磺胺 2-Chloro-5-(1H-tetrazol-5-yl)-N4-2-thenylsulfanilamide. 利尿药。用于治疗心脏、肝脏和肾脏病引起的水肿。 Azosemide INN,USAN.  |