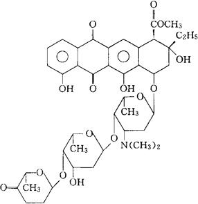
阿克拉霉素
C42H53NO15=811.88 CAS-57576-44-0 (1R,2R,4S)-2-乙基-1,2,3,4,6,11-六氢-2,5,7-三羟基-6,11-二氧-4-[[2,3,6-三脱氧-4-[2,6-二脱氧-4-O-[(2R,6S)-四氢-6-甲基-5氧-2H-吡喃-2-基]-α-L-来苏-己吡喃糖基]-3-(二甲氨基)-α-L-来苏-己吡喃糖基]氧]-1-并四苯羧酸甲酯。 Methyl(1R,2R,4S)-2-ethyl-1,2,3,4,6,11-hexahydro-2,5,7-trihydroxy-6,11-dioxo-4-[[2,3,6-trideoxy-4-O-[2,6-deoxy-4-O[(2R,6S)-tetrahy-dro-6-methyl-5-oxo-2H-pyran-2-y1]-α-L-lyxo-hexopyranosyl]3-(dimethylamino)-α-L-lyxo-hexo-pyranosyl]oxy]-1-nathacenecarboxylate. 抗肿瘤药。 阿柔比星,阿克拉比星。 Aclarubicin,Aclacinomycin A. INN,JAN,USAN,MI.  |