网站首页  词典首页


请输入您要查询的字词:

 

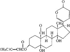
字词 阿克海林
类别 中英文字词句释义及详细解析
释义 阿克海林

C29H38O7=498.61

CAS-67696-82-6

3β,5,14-三羟基-19-氧-5β-蟾-20,22-二烯醇酯3-(3-甲基巴豆酸酯)。

3β,5,14-Trihydroxy-19-oxo-5β-bufa-20,22-dienolide 3-(3-metylcrotonate).

强心药。

Acrihellin.

随便看

 

离鸟网收录3541549条中英文词条,其功能与新华字典、现代汉语词典、牛津高阶英汉词典等各类中英文词典类似,基本涵盖了全部常用中英文字词句的读音、释义及用法,是语言学习和写作的有利工具。

 

Copyright © 2004-2024 vtrois.com All Rights Reserved
更新时间:2026/5/25 10:41:49