阿克索胺
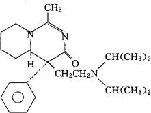
C23H35N3O=369.55 CAS-96914-39-5 顺-(±)-4-[2-[双(1-甲基乙基)氨基]乙基]-4,4a,5,6,7,8-六氢-1-甲基-4-苯基-3H-吡啶并[1,2-c]嘧啶基-3-酮。 3H-Pyrido[1,2-c]pyrimidin-3-one,4-[2[bis(1-methylethyl)amino]ethyl]-4,4a,5,6,7,8-hexahydro-1-metyhl-4-phenyl-,cis-(±)-. (±)-顺-4-[2-(二异丙基氨基)乙基]4,4a,5,6,7,8-六氢-1-甲基-4-苯基-3H-吡啶并[1,2-c]嘧啶-3-酮。(±)-cis-4-[2-(Diisopropylamino)ethyl]-4,4a,5,6,7,8-hexahydro-1-methyl]-4-phenyl-3H-pyrido[1,2-c]pyrimidin-3-one. 抗心律失常药。 Actisomide,SC-36602. INN,USAN.  |