阿利坦
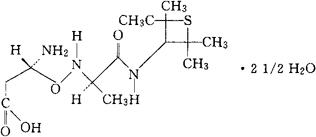
C14H25N3O4S·2 1/2H2O=376.47 CAS-99016-42-9 CAS-80863-62-3(无水) L-α-天冬氨酰-N-(2,2,4,4-四甲基-3-环噻丁基)-D丙氨酰胺二又二分之-水合物(2∶5)。 L-α-Aspartyl-N-(2,2,4,4-tetramethyl-3-thietanyl)-D-alaninamide,hydrate(2∶5). 3(S)-氨基-N-[(1R)-1-[(2,2,4,4-四甲基-3-环噻丁基)氨甲酰基]乙基]丁酰胺酸水合物(2∶5)。 3(S)-Amino-N-[(1R)-1-[(2,2,4,4-tetramethyl-3-thietanyl)carbamoyl]ethyl]succinamic acid hydrate(2∶5). 甜味剂。 Alitame,CP-54,802.  |