阿前列素
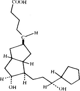
C21H32O4=348.48 CAS-83997-19-7 (+)-(2E,3aS,4R,5R,6aS)-4-[(1E,3S)-3-环戊基-3-羟丙烯基]-3,3a,4,5,6,6a-六氢-5-羟基-△2(1H),δ-并环戊二烯戊酸。 (+)-(2E,3aS,4R,5R,6aS)-4-[(1E,3s)-3-Cyclopentyl-3-hydroxypropenyl]-3,3a,4,5,6,6a-hexahydro-5-hydroxy-△2(1H),8pentalenevaleric acid. 血小板聚集抑制药。 Ataprost. INN.USAN.  |