网站首页  词典首页


请输入您要查询的字词:

 

字词 阿卡嗪
类别 中英文字词句释义及详细解析
释义 阿卡嗪

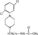
C15H21Cl2N3O=330.26

CAS-55485-20-6

N-[3-[4-(2,5-二氯苯基)-1-哌嗪基]丙基]乙酰胺。

N-[3-[4-(2,5-Dichlorophenyl)-1-piperazinyl]propyl]acetamide.

1-(3-乙酰胺基丙基)-4-(2,5-氯苯基)哌嗪。

1-(3-Acetamidopropyl)-4-(2,5-Chlorophenyl)piperazine.

抗青光眼药,安定药。

Acaprazine.

INN,USAN.

随便看

 

离鸟网收录3541549条中英文词条,其功能与新华字典、现代汉语词典、牛津高阶英汉词典等各类中英文词典类似,基本涵盖了全部常用中英文字词句的读音、释义及用法,是语言学习和写作的有利工具。

 

Copyright © 2004-2024 vtrois.com All Rights Reserved
更新时间:2026/5/31 10:06:52