网站首页  词典首页


请输入您要查询的字词:

 

字词 阿卡锡
类别 中英文字词句释义及详细解析
释义 阿卡锡

【名称出处】:《新华本草纲要》

【概况】:

异名 圣诞树(广西),鱼骨槐(云南)。

基源 为豆科金合欢属植物线叶金合欢和银荆的树胶。

原植物 正品阿卡锡有2种:线叶金合欢Acacia decurrens Wdld.,又名绿荆(广东)。银荆Acacia dealbata Link(Acacia decurrens Willd.var dealbata),又名鱼骨松。

历史 本品始载于《药学学报》,为60年代以来阿拉伯胶代用品。

形态 线叶金合欢为灌木或亚灌木,高6~15m,小枝具棱。二回羽状复叶具腺体;羽片5~15对;小叶20~40对,线形,长0.5~1cm,宽0.03~0.05cm。

花序头状,直径0.6~0.8cm,排列呈总状或顶生圆锥花序;花黄色;花萼被缘毛;花瓣中脉突出。荚果长圆形,长5~10cm,宽0.4~0.7cm,扁平,种间缢缩,种子卵形。 银荆为灌木或小乔木,高15m;小枝被短绒毛及白霜。二回羽状复叶银灰至淡绿色或略呈金黄色;羽片10~25对;小叶26~46对,被灰白色短柔毛。头状花序,花淡黄至橙黄色。荚果长3~8cm,宽0.7~1.2cm,表皮被白霜,红棕黑色。

花期4月,果期7~8月。(图见《中国植物志》.第39卷.图版12∶1-3)

生境与分布 中国云南、广东、广西、福建有栽培。

原产澳大利亚。

。【化学】:

附 绿荆含缩聚黄烷醇(Condensed polymeric flavanols)[1]

绿荆种子含茁长素(Auxins)[2]

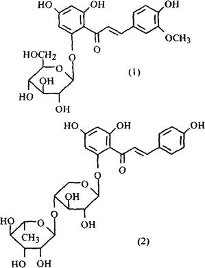
银荆花中得到一新的查耳酮甙4,2’4’6’-四羟基-3-甲氧基查耳酮2’-O-β-D-葡萄糖甙(1)和垂头酢浆草甙(Cernuoside)[3],稍后又从花中得到另一新的查耳酮甙4,2’,4’,6’一四羟基查耳酮2’-[O-鼠李糖基-(1→4)-木糖甙](2)[4]

参考文献 [1] CA 1973;78:119383C [2] CA 1972;76:11964n [3] Experimentia 1982;38(1):67 [4] Phytochemistry 1982;21(2):480

。【药性】:

功效 可代阿拉伯胶应用。

随便看

 

离鸟网收录3541549条中英文词条,其功能与新华字典、现代汉语词典、牛津高阶英汉词典等各类中英文词典类似,基本涵盖了全部常用中英文字词句的读音、释义及用法,是语言学习和写作的有利工具。

 

Copyright © 2004-2024 vtrois.com All Rights Reserved
更新时间:2026/4/7 19:31:10