网站首页  词典首页


请输入您要查询的字词:

 

字词 阿吡必利
类别 中英文字词句释义及详细解析
释义 阿吡必利

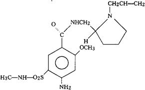
C17H26N4O4S=382.48

CAS-81982-32-3

(±)-N-[(1-烯丙基-2-吡咯烷基)甲基]-4-氨基-4-(甲基氨磺酰)-o-茴香酰胺。

(±)-N-[(1-Allyl-2-pyrrolidinyl)methyl]-4-amino4-(methylsulfamoyl)-o-anisamide.

氨基-2-甲氧基-5-[(甲氨基)磺酰]-N-[[(1-(2-丙烯基)-2-吡咯烷基]甲基]苯甲酰胺。

Amino-2-methoxy-5-[(methylamino)sulfonyl]-N[[1-(2-propenyl)-2-pyrrolidinyl]methyl]benzamide.

抗高血压药。用于治疗偏头痛。

Alpiropride,Rivestel,Ivistel,Riv 2093.

INN,USAN.

随便看

 

离鸟网收录3541549条中英文词条,其功能与新华字典、现代汉语词典、牛津高阶英汉词典等各类中英文词典类似,基本涵盖了全部常用中英文字词句的读音、释义及用法,是语言学习和写作的有利工具。

 

Copyright © 2004-2024 vtrois.com All Rights Reserved
更新时间:2026/4/7 3:36:50