阿哌环素
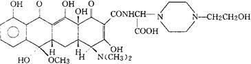
C30H38N4O11=630.65 CAS-15599-51-6 α-[4-(二甲氨基)-1,4,4α,5,5α,6,11,12α-八氢-3,6,10,12,12-α-五羟基-6-甲基-1,11-二氧-2-并四苯甲酰胺基]-4-(2-羟乙基)-1-哌嗪乙酸。 α-[4-(Dimethylamino)-l,4,4α,5,5α,6,11,12α-octahydro-3,6,10,12,12α-pentahydroxy-6-methyl-1,11-dioxo-2-naphthacenecarboxamido]-4-(2-hydroxyethyl)-l-piperazineacetic acid. N-[(2-羟基乙基)哌嗪基羧甲基]四环素。 N-[(2-Hydroxyethyl)piperazinocarboxymethyl]tetracycline. 抗生素类药。 哌醋四环素。 Apicycline,RIT 1140,Traserit. INN,NFN,USAN,MI. 
|