网站首页  词典首页


请输入您要查询的字词:

 

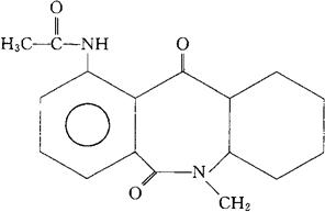
字词 阿多索平
类别 中英文字词句释义及详细解析
释义 阿多索平

C17H14N2O3=294.31

CAS-88124-26-9

N-(5,6-二氢-5-甲基-6,11-二氧代-10-吗吩烷啶基)乙酰胺。

N-(5,6-Dihydro-5-methyl-6,11-dioxo-10-morphanthridinyl)acetamide.

抗利尿药。

Adosopine.

INN.

随便看

 

离鸟网收录3541549条中英文词条,其功能与新华字典、现代汉语词典、牛津高阶英汉词典等各类中英文词典类似,基本涵盖了全部常用中英文字词句的读音、释义及用法,是语言学习和写作的有利工具。

 

Copyright © 2004-2024 vtrois.com All Rights Reserved
更新时间:2026/5/25 9:35:31