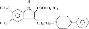
阿尔哌汀
C25H31N3O4=437.54 CAS-27076-46-6 5,6-二甲氧基-3-[[2-(4-苯基-1-哌嗪基)乙基]吲哚-2-羧酸乙酯。 Ethyl 5,6-dimethoxy-3-[2-(4-phenyl-1-piperazinyl)ethyl]indole-2-carboxylate. 1-[2-[2-乙酯基-5,6-二甲氧基-3-吲哚基]乙基]-4-苯基哌嗪。 1-[2-[2-Carbethoxy-5,6-dimethoxy-3-indolyl]ethyl]-4-phenylpiperazine. 安定药。抗精神病药。 Alpertine,Win 31,665. INN,USAN. 
|