阿尔噻嗪
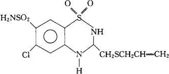
C11H14ClN3O4S3=383.88 CAS-5588-16-9 6-氯-3,4-二氢-3[(2-丙烯基硫代)甲基]-2H-1,2,4-苯并噻二嗪-7-磺酰胺-1,1-二氧化物。 2H-1,2,4-Benzothiadiazine-7-sulfonamide,6-chloro3,4-dihydro-3-[(2-propenylthio)methyl]-,1,1-dioxide. 3-[(烯丙基硫)甲基]-6-氯-3,4-二氢-2H-1,2,4-苯并噻二嗪-7-磺酰胺,1,1-二氧化物。 3-[(Allylthio)methyl]-6-chloro-3,4-dihydro-2H1,2,4-benzothiadiazine-7-sulfonamide,1,1-dioxide. 利尿药,抗高血压药。 Altizide(INN),P-1779,8093CB,Althiazide(USAN).  |