网站首页  词典首页


请输入您要查询的字词:

 

字词 阿库氯铵
类别 中英文字词句释义及详细解析
释义 阿库氯铵

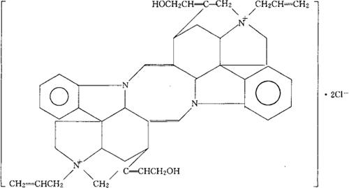
C44H50Cl2N4O2=737.81

CAS-15180-03-7

4,4′-二去甲基-4,4′二-2-丙烯基-毒马钱碱I,-二氯化物。

4,4′-Didemethyl-4,4′-di-2-propenyl-toxiferine I,idichloride.

N,N′-二烯丙基去甲毒马钱碱二氯化物。

N,N′-Diallylnortoxiferinium dichlorde.

神经肌肉阻断药。具有明显的肌肉松驰作用,可作为外科手术麻醉的辅助药。

Alcuronium Dichloride,Alloferin,RO 4-3816,Toxiferene,Aloferin,Dialferin,Dialloferin.

二烯丙托锡非林,双丙烯去甲瓢箭素,阿扣罗利。

INN,BAN,JAN,USAN.

随便看

 

离鸟网收录3541549条中英文词条,其功能与新华字典、现代汉语词典、牛津高阶英汉词典等各类中英文词典类似,基本涵盖了全部常用中英文字词句的读音、释义及用法,是语言学习和写作的有利工具。

 

Copyright © 2004-2024 vtrois.com All Rights Reserved
更新时间:2026/4/6 21:27:31