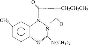
阿扎丙宗
C16H20N4O2=300.36 CAS-13539-59-8 5-(二甲氨基)-9-甲基-2-丙基-1H-吡唑并[1,2-a][1,2,4]苯并三嗪-1,3(2H)-二酮。 5-(Dimethylamino)-9-methyl-2-propyl-1H-pyrazolo[1,2-a][1,2,4]benzotriazine-1,3(2H)-dione. 消炎药。用于治疗各种风湿病和其它骨骼肌的疼痛。 阿丙扎宗。 Azapropazon,Apazone,AHR-3018,MI-85,NSC102824,Prolixan. INN,BAN,DCF,DCIT,JAN,USAN.  |