网站首页  词典首页


请输入您要查询的字词:

 

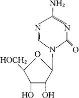
字词 阿扎胞苷
类别 中英文字词句释义及详细解析
释义 阿扎胞苷

C8H12N4O5=244.21

CAS-320-67-2

4-氨基1-β-D-呋喃核糖基-S-三嗪-2(1H)-酮。

4-Amino-1-β-D-ribofuranosyl-s-triazin-2(1H)-one.

抗肿瘤药。

Azacitidine,U-18,496,NSC-102816.

INN,USAN.

随便看

 

离鸟网收录3541549条中英文词条,其功能与新华字典、现代汉语词典、牛津高阶英汉词典等各类中英文词典类似,基本涵盖了全部常用中英文字词句的读音、释义及用法,是语言学习和写作的有利工具。

 

Copyright © 2004-2024 vtrois.com All Rights Reserved
更新时间:2026/4/6 17:40:10