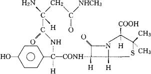
阿扑西林
C21H27N5O7S=493.53 CAS-63358-49-6 (2S,5R,6R)-6-[(2R)-2-[(2R)-2-氨基-3-(甲基氨甲酰基)丙酰胺基]-2-(对-羟基苯基)乙酰氨基]-3,3-二甲基-7-氧代-4-硫杂-1-氮杂双环[3.2.0]庚烷-2-羟酸。 (2S,5R,6R)-6-[(2R)-2-[(2R)-2-Amino-3-(methylcarbamoyl)propionamido]-2-(p-hydroxyphenyl)acetamino]-3,3-dimethyl-7-oxo-4-thia-1-azabicyclo[3.2.O]heptane-2-carboxylic acid. 抗生素类药。用于败血症感染性心内膜炎、咽喉炎、扁桃体炎、急性慢性支气管炎、肺炎、胆囊炎、胆管炎、腹膜炎、中耳炎、副鼻窦炎等。 阿司泊西林。 Aspoxicillin,ASPC. INN,USAN,MI.  |