网站首页  词典首页


请输入您要查询的字词:

 

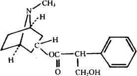
字词 阿托品
类别 中英文字词句释义及详细解析
释义 阿托品

C17H23NO3=289.37

CAS-51-55-8

α-(羟基甲基)苯乙酸-8-甲基-8-氮杂双环[3.2.0]辛烷-3-醇酯,内-(±)-.

α-(Hydroxymethyl)benzeneacetic acid-8-methyl-8-azabicyclo[3.2.1]oct-3-yl ester,endo-(±)-.

1αH,5αH-托烷-3α-醇(±)-托品酸酯。

1αH,5αH-Tropan-3α-ol(±)-tropate(ester).

抗胆碱药。

Atropine.

BAN,USAN,USP.

随便看

 

离鸟网收录3541549条中英文词条,其功能与新华字典、现代汉语词典、牛津高阶英汉词典等各类中英文词典类似,基本涵盖了全部常用中英文字词句的读音、释义及用法,是语言学习和写作的有利工具。

 

Copyright © 2004-2024 vtrois.com All Rights Reserved
更新时间:2026/4/8 9:32:09