网站首页  词典首页


请输入您要查询的字词:

 

字词 阿托喹啉
类别 中英文字词句释义及详细解析
释义 阿托喹啉

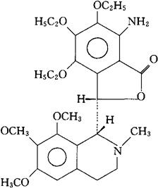
C27H36N2O8=516.59

CAS-121029-11-6

(3S)-7-氨基-4,5,6-三乙氧基-3-[(1R)-1,2,3,4-四氢-6,7,8-三甲氧基-2-甲基-1-异喹啉基]-苯肽。

(3S)-7-Amino-4,5,6-triethoxy-3-[(1R)-1,2,3,4-tetrahydro-6,-7,8-trimethoxy-2-methyl-1-isoquinoyl]phthalide.

Altoqualine.

INN,USAN.

随便看

 

离鸟网收录3541549条中英文词条,其功能与新华字典、现代汉语词典、牛津高阶英汉词典等各类中英文词典类似,基本涵盖了全部常用中英文字词句的读音、释义及用法,是语言学习和写作的有利工具。

 

Copyright © 2004-2024 vtrois.com All Rights Reserved
更新时间:2026/4/6 20:03:26