阿托地近
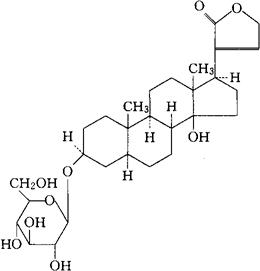
C29H44O9=536.66 CAS-36983-69-4 3β-(β-D-吡喃葡萄糖基氧)-14,23-二羟基-24-去甲-5β,14β-胆-20(22)-烯-21-酸-γ-内酯。 3β-(β-D-Glucopyranosyloxy)-14,23-dihydroxy-24-nor-5β,14β-chol-20(22)-en-21-oic acid γ-lactone. 强心药。用于治疗心力衰竭。 洋地黄吡糖甙。 Actodigin,AY-22,241,Actinogen. INN,USAN.  |